【献礼建党百年】老区赞皇党史故事 12 “四纵队”的覆灭
发布时间:2021-03-18 本文作者:赞皇文明网
1939年11月11日,国民党六中全会制订了《限制异党问题实施方案》,并迅速部署三路反共大军,向共产党领导的晋冀豫根据地进攻,掀起了第一次反共高潮。其中一路以97军军长朱怀冰所部为主,侵入太行山北部,企图控制冀西地区,割断太行区与冀南区的联系,从而进取冀南。
作为冀西地区最老牌的“摩擦专家”,“四纵队”首脑侯如墉和于珩迅速反应,展开了对抗日力量的新一轮攻击。1939月11月23日,“四纵队”于珩部在沙河册井打死打伤请愿群众百余人,制造了震惊华北的“册井惨案”。在赞皇,则升级摩擦手段,捣乱村区政权,破坏冀钞发行,武装抢劫公粮,杀害抗日干部,使抗日武装与抗日政权再次陷入异常困难的境地,不仅囤积公粮的中心任务难以完成,政府日常建政工作也完全停顿。不但如此,侯如墉还大肆开展投降活动,“四纵队”人员可以公开自由出入日寇占领区,赞皇、元氏之敌也遍贴欢迎侯如墉进城的标语。
新华日报(华北版)头版刊登册井惨案
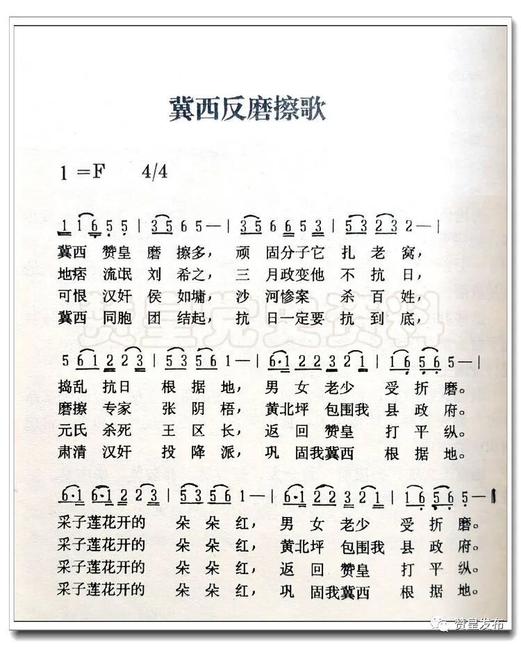
当时流行于赞皇及冀西一带的反摩擦歌
这时,由于国民党顽固执行“消极抗日、积极反共”的方针,国民党冀察游击第二路第二师,在爱国将领范子侠师长的带领下,于1939年11月与国民党脱离关系,改称“平汉抗日游击纵队”(简称平纵),移驻赞皇县阳泽区域。国民党顽固派对此惊慌失措,有关军政当局先是以“军纪”、“法令”恐吓、威胁范子侠,失败后又以封官许愿进行收买。范子侠不为所动,一一予以拒绝。12月,国民党朱怀冰部主力94师282团进驻赞皇县曹家庄一带,迅速与侯如墉、于珩相呼应,对范子侠部及赞皇抗日力量形成夹击之势。
范子侠烈士
范子侠(1908-1942),江苏丰县人,少年时代投笔从戎,先后在国民党军任排长、连长、营长、团长等职。1937年7月7日,抗日战争全面爆发,在河北无极、藁城、新乐、行唐一带组织抗日义勇军。1939年11月接受共产党领导,将所部改编为八路军平汉抗日游击纵队,任司令员。同年在刘伯承、邓小平的直接关怀下,加入中国共产党。后任八路军第129师新编10旅旅长、平汉纵队司令员兼太行军区第6分区司令员,率部参加了冀西反“十一路围攻”、百团大战、黄崖洞保卫战等战役战斗。1942年2月12日,在粉碎日本侵略军扫荡的河北省沙河县柴关战斗中壮烈牺牲,时年34岁。范子侠将军牺牲后,八路军一二九师师长刘伯承、政委邓小平在《新华日报》撰写纪念文章对他高度评价,认为范子侠将军是"模范的布尔什维克,最忠实于中华民族解放事业的战士"。2014年9月1日,被列入民政部公布的第一批300名著名抗日英烈和英雄群体名录。
在日寇和顽军的“虎狼夹击”之下,冀西地区的形势异常严峻。11月28日,侯如墉暗中和日寇神县九郎配合,出动赞皇、高邑、临城之敌700余人,携炮4门,飞机1架,分四路西犯赞皇,“平纵”与之在孤山、赵堡村一带展开战斗,粉碎了其“四路围攻”。11月30日,时任高邑抗日县政府县长张适如,在赞皇县北平旺村北与敌遭遇,壮烈殉国。12月20日以后,日寇在赞皇、高邑县城附近大肆抓捕壮丁,意图训编为伪军,送至前线当炮灰,在两县引起很大恐慌。为缓和局面,范子侠多次派人联系“四纵队”,表示愿意同其达成谅解、共同抗日。而侯如墉却恶意中伤,污蔑“平纵”是“伪军”,意欲加以攻击。在危机中,赞皇县在院头镇组织了近万人参加的军民大会,声讨顽固势力的罪行,对民众进行宣传动员,对顽军施加政治压力,进行针锋相对的政治斗争。同时,129师开始进行必要的军事准备,以把握主动。12月6日,师部邀“平纵”主力移至赞皇胡家庵、黄北坪地域,在385旅首长指挥下,配合冀西游击队、独立二大队及赞皇独立大队行动;12月底,又令385旅769团自涉县北移,至冀西地区与385旅独立1团会合,以防不测。冀西地区阴云密布,已是“山雨欲来风满楼”!
范子侠部“平纵”臂章(左)和侯如墉部冀察战区游击第四纵队奖章(右)
配合侯如墉部反共的国民党97军军长朱怀冰(左)和河北民军代理总指挥乔明礼(右)。
1940年1月,范子侠指挥“平纵”攻打元氏县城,希望侯如墉配合作战。侯如墉表面上同意,却在朱怀冰的指使下,联合民军乔明礼部,共计6000余人,于1月12日突然向赞皇地区“平纵”发起攻击。范子侠忍无可忍,指挥部队进行反击。同时,129师与晋冀豫军区领导李达、黄镇、谢富治等在赞皇县黄北坪坐镇指挥,调动385旅769团和独立1团,以及冀中八路军吕正操部,配合“平纵”夹击侯如墉和乔明礼,迅速将其大部歼灭。
1月13日,朱怀冰部282团分三路进攻驻院头镇之赞皇独立游击大队,意图策应侯如墉顽军。1月15日,日军为救援侯如墉部,自赞皇、元氏、获鹿、井陉、平定等地出动日伪军3000余人,以6架飞机配合,分九路扫荡赞皇以西地区。此次扫荡之惨烈,为赞皇抗战以来之最,给群众造成了巨大损失。追击侯如墉顽军的各部队迅速转入对日作战,其时天寒地冻、大雪封山,赞皇三阵村一带山区的战斗尤为艰苦激烈,反扫荡战斗持续5天,日寇伤亡800余人后败退。侯如墉则趁机逃脱,率残部700余人至赞皇县城投敌。朱怀冰孤军难保,南撤至武安、涉县、磁县地区。
新华日报(华北版)刊登侯如墉投敌的消息
新华日报(华北版)刊登范子侠反击侯如墉和反日寇扫荡的消息。
这场战斗,一举荡平了冀西顽固势力,并对日寇的大规模扫荡予以有力回击,是保卫冀西抗日根据地的关键一战,对于巩固太北地区阵地具有重要意义,也为八路军集中力量反击太南地区国民党顽军的进攻创造了极为有利的条件。此役过后,范子侠将军发表《泣告军民同胞书》,赢得了抗日民众的极大同情与拥戴,他从此彻底与国民党决裂,接受共产党八路军的领导,走上了光荣的革命道路!
新华日报(华北版)刊登范子侠《泣告军民同胞书》
(文章作者:张子延)
上一篇:第一页

